Akhisar Belediyesi, mülkiyetinde bulunan arsa, tarla ve zeytinlikleri açık teklif usulüyle satışa çıkarıyor. İhaleye katılmak isteyenler 20 Ekim 2025’e kadar başvuruda bulunabilecek.
Akhisar Belediyesi, mülkiyetinde bulunan toplam 61 taşınmazı ihale yoluyla satışa çıkardı. Satışa sunulan taşınmazlar arasında arsa, tarla ve zeytinlikler yer alıyor. İhaleler, 22 Ekim 2025 Çarşamba günü saat 14:00’te Belediye Encümen Salonu’nda yapılacak. İhaleye katılmak isteyenlerin 20 Ekim 2025 Pazartesi gününe kadar gerekli evrak ve geçici teminatlarını Emlak ve İstimlak Müdürlüğü’ne teslim etmesi gerekiyor. Belediye Encümeni, ihaleleri yapıp yapmamakta tamamen yetkili.
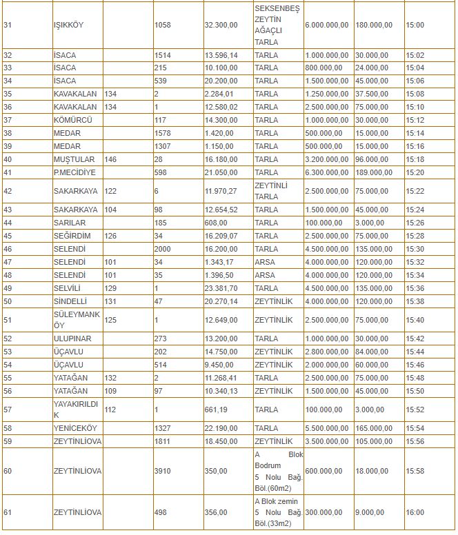
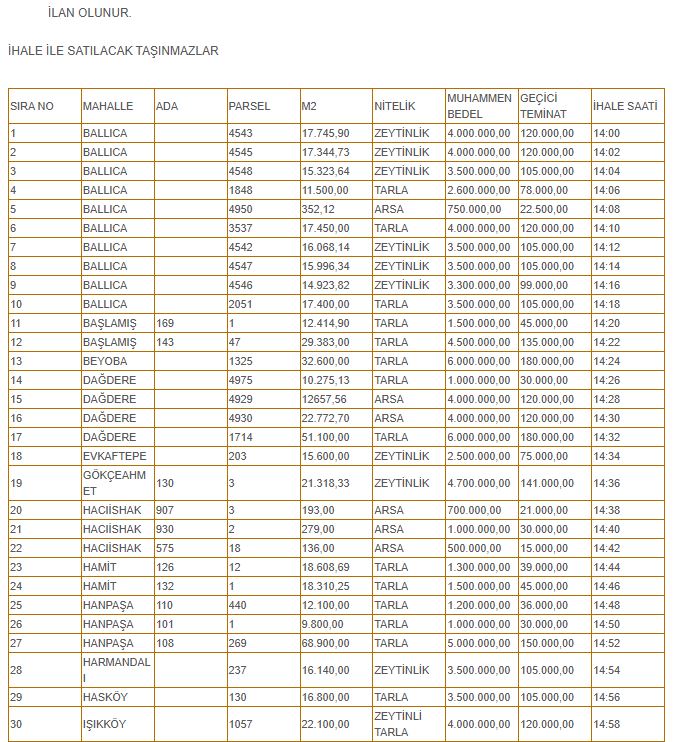
İhale Kapsamındaki Taşınmazlar
Belediyenin satışa çıkardığı taşınmazlar, muhtelif mahallelerde yer alan arsa, tarla ve zeytinliklerden oluşuyor. Her bir taşınmazın pafta, ada, parsel numarası, metrekare bilgisi ve muhammen bedeli ilan listesinde yer alıyor. İlgililer, taşınmazlara ilişkin detaylı listeye başvuru sırasında ulaşabilecek.
İhaleye Katılım Şartları
İhaleye katılmak isteyenler, 20 Ekim 2025 Pazartesi günü mesai bitimine kadar %3 oranında geçici teminatlarını ve gerekli ihale evraklarını Akhisar Belediyesi Emlak ve İstimlak Müdürlüğü’ne teslim etmek zorunda. Posta yoluyla yapılan başvurular kabul edilmiyor.
İhale Tarihi ve Yeri
Akhisar Belediyesi taşınmaz ihalesi, 22 Ekim 2025 Çarşamba günü saat 14:00’te Belediye Encümen Salonu’nda, Belediye Encümeni huzurunda yapılacak. İhaleler, taşınmazlar için 2’şer dakikalık aralarla gerçekleştirilecek.
Şartname ve Bedeli
İhaleye katılmak isteyenler, ihale şartnamesini Akhisar Belediyesi Emlak ve İstimlak Müdürlüğü’nden 5.000 TL bedel karşılığında temin edebilecek. Şartname, taşınmazların özellikleri, ihale usulü ve diğer detayları içeriyor.
Belediye Yetkisi ve Tekrar İhale Hakkı
Belediye Encümeni, ihaleleri yapıp yapmamakta tamamen serbest olup, teklif gelmeyen taşınmazları ilk ihaleden 15 gün sonra tekrar ihale edebilir. Satış ihalesinde KDV uygulanmayacak.





